Classwork for BIMM143
Blinda Sui (PID: A17117043)
As it is nearly Halloween and th ehalf way point in the quarter, let’s do a mini project at help us figure out the best candy!
Our come from the 538 website and is available as a CSV file:
candy <- read.csv("candy-data.csv", row.names = 1)
head(candy)
chocolate fruity caramel peanutyalmondy nougat crispedricewafer
100 Grand 1 0 1 0 0 1
3 Musketeers 1 0 0 0 1 0
One dime 0 0 0 0 0 0
One quarter 0 0 0 0 0 0
Air Heads 0 1 0 0 0 0
Almond Joy 1 0 0 1 0 0
hard bar pluribus sugarpercent pricepercent winpercent
100 Grand 0 1 0 0.732 0.860 66.97173
3 Musketeers 0 1 0 0.604 0.511 67.60294
One dime 0 0 0 0.011 0.116 32.26109
One quarter 0 0 0 0.011 0.511 46.11650
Air Heads 0 0 0 0.906 0.511 52.34146
Almond Joy 0 1 0 0.465 0.767 50.34755
flextable::flextable(head(candy, 10))

Q1. How many different candy types are in this dataset?
nrow(candy)
[1] 85
candy |>
nrow()
[1] 85
library(tidyverse)
── Attaching core tidyverse packages ──────────────────────── tidyverse 2.0.0 ──
✔ dplyr 1.1.4 ✔ readr 2.1.5
✔ forcats 1.0.1 ✔ stringr 1.5.2
✔ ggplot2 4.0.0 ✔ tibble 3.3.0
✔ lubridate 1.9.4 ✔ tidyr 1.3.1
✔ purrr 1.1.0
── Conflicts ────────────────────────────────────────── tidyverse_conflicts() ──
✖ dplyr::filter() masks stats::filter()
✖ dplyr::lag() masks stats::lag()
ℹ Use the conflicted package (<http://conflicted.r-lib.org/>) to force all conflicts to become errors
candy %>%
nrow()
[1] 85
Q2. How many fruity candy types are in the dataset?
sum(candy$fruity)
[1] 38
Q3. What is your favorite candy in the dataset and what is it’s winpercent value?
My favorite winpercent
candy["Twix", ]$winpercent
[1] 81.64291
library(dplyr)
candy |>
filter(rownames(candy) == "Boston Baked Beans") |>
select(winpercent)
winpercent
Boston Baked Beans 23.41782
Q4. What is the winpercent value for “Kit Kat”?
candy["Kit Kat", ]$winpercent
[1] 76.7686
Q5. What is the winpercent value for “Tootsie Roll Snack Bars”?
candy["Tootsie Roll Snack Bars", ]$winpercent
[1] 49.6535
#It is a modern, tidyverse-friendly alternative to the base R function summary()
skimr::skim(candy)
| Name | candy |
| Number of rows | 85 |
| Number of columns | 12 |
| _______________________ | |
| Column type frequency: | |
| numeric | 12 |
| ________________________ | |
| Group variables | None |
Data summary
Variable type: numeric
| skim_variable | n_missing | complete_rate | mean | sd | p0 | p25 | p50 | p75 | p100 | hist |
|---|---|---|---|---|---|---|---|---|---|---|
| chocolate | 0 | 1 | 0.44 | 0.50 | 0.00 | 0.00 | 0.00 | 1.00 | 1.00 | ▇▁▁▁▆ |
| fruity | 0 | 1 | 0.45 | 0.50 | 0.00 | 0.00 | 0.00 | 1.00 | 1.00 | ▇▁▁▁▆ |
| caramel | 0 | 1 | 0.16 | 0.37 | 0.00 | 0.00 | 0.00 | 0.00 | 1.00 | ▇▁▁▁▂ |
| peanutyalmondy | 0 | 1 | 0.16 | 0.37 | 0.00 | 0.00 | 0.00 | 0.00 | 1.00 | ▇▁▁▁▂ |
| nougat | 0 | 1 | 0.08 | 0.28 | 0.00 | 0.00 | 0.00 | 0.00 | 1.00 | ▇▁▁▁▁ |
| crispedricewafer | 0 | 1 | 0.08 | 0.28 | 0.00 | 0.00 | 0.00 | 0.00 | 1.00 | ▇▁▁▁▁ |
| hard | 0 | 1 | 0.18 | 0.38 | 0.00 | 0.00 | 0.00 | 0.00 | 1.00 | ▇▁▁▁▂ |
| bar | 0 | 1 | 0.25 | 0.43 | 0.00 | 0.00 | 0.00 | 0.00 | 1.00 | ▇▁▁▁▂ |
| pluribus | 0 | 1 | 0.52 | 0.50 | 0.00 | 0.00 | 1.00 | 1.00 | 1.00 | ▇▁▁▁▇ |
| sugarpercent | 0 | 1 | 0.48 | 0.28 | 0.01 | 0.22 | 0.47 | 0.73 | 0.99 | ▇▇▇▇▆ |
| pricepercent | 0 | 1 | 0.47 | 0.29 | 0.01 | 0.26 | 0.47 | 0.65 | 0.98 | ▇▇▇▇▆ |
| winpercent | 0 | 1 | 50.32 | 14.71 | 22.45 | 39.14 | 47.83 | 59.86 | 84.18 | ▃▇▆▅▂ |
Q6. Is there any variable/column that looks to be on a different scale to the majority of the other columns in the dataset?
The winpercent is on a 0-100 scale the rest are 0-1 scale
Q7. What do you think a zero and one represent for the candy$chocolate column?
That the candy does not contain chocolate
Q8. Plot a histogram of winpercent values
library(ggplot2)
ggplot(candy) +
aes(winpercent) +
geom_histogram(bins=20)

Q9. Is the distribution of winpercent values symmetrical?
ggplot(candy) +
aes(winpercent) +
geom_density()

Q10. Is the center of the distribution above or below 50%?
mean(candy$winpercent)
[1] 50.31676
summary(candy$winpercent)
Min. 1st Qu. Median Mean 3rd Qu. Max.
22.45 39.14 47.83 50.32 59.86 84.18
Q11. On average is chocolate candy higher or lower ranked than fruit candy?
# 1. Find all chocolate candy in the dataset
# 2. Find their winpercent values
# 3. Calculate the mean of these values
# 4-6. DO the same for fruity candy
# 7. compare mean winpercents of chocolate vs fruity
# 8. Pick the highest as the winnder
choc.inds <- candy$chocolate == 1
choc.win <- candy[choc.inds, ]$winpercent
choc.mean <- mean(choc.win)
choc.mean
[1] 60.92153
mean(candy[candy$chocolate==1,]$winpercent)
[1] 60.92153
mean(candy[candy$fruity==1,]$winpercent)
[1] 44.11974
fruit.ind <- candy$fruity==1
fruit.win <- candy[fruit.ind,]$winpercent
fruit.mean <- mean(fruit.win)
fruit.mean
[1] 44.11974
candy |>
filter(chocolate==1) |>
select(winpercent)
winpercent
100 Grand 66.97173
3 Musketeers 67.60294
Almond Joy 50.34755
Baby Ruth 56.91455
Charleston Chew 38.97504
Hershey's Kisses 55.37545
Hershey's Krackel 62.28448
Hershey's Milk Chocolate 56.49050
Hershey's Special Dark 59.23612
Junior Mints 57.21925
Kit Kat 76.76860
Peanut butter M&M's 71.46505
M&M's 66.57458
Milk Duds 55.06407
Milky Way 73.09956
Milky Way Midnight 60.80070
Milky Way Simply Caramel 64.35334
Mounds 47.82975
Mr Good Bar 54.52645
Nestle Butterfinger 70.73564
Nestle Crunch 66.47068
Peanut M&Ms 69.48379
Reese's Miniatures 81.86626
Reese's Peanut Butter cup 84.18029
Reese's pieces 73.43499
Reese's stuffed with pieces 72.88790
Rolo 65.71629
Sixlets 34.72200
Nestle Smarties 37.88719
Snickers 76.67378
Snickers Crisper 59.52925
Tootsie Pop 48.98265
Tootsie Roll Juniors 43.06890
Tootsie Roll Midgies 45.73675
Tootsie Roll Snack Bars 49.65350
Twix 81.64291
Whoppers 49.52411
Q12. Is this difference statistically significant?
t.test(choc.win, fruit.win)
Welch Two Sample t-test
data: choc.win and fruit.win
t = 6.2582, df = 68.882, p-value = 2.871e-08
alternative hypothesis: true difference in means is not equal to 0
95 percent confidence interval:
11.44563 22.15795
sample estimates:
mean of x mean of y
60.92153 44.11974
Q13. What are the five least liked candy types in this set?
candy |>
arrange(winpercent) |>
head(5)
chocolate fruity caramel peanutyalmondy nougat
Nik L Nip 0 1 0 0 0
Boston Baked Beans 0 0 0 1 0
Chiclets 0 1 0 0 0
Super Bubble 0 1 0 0 0
Jawbusters 0 1 0 0 0
crispedricewafer hard bar pluribus sugarpercent pricepercent
Nik L Nip 0 0 0 1 0.197 0.976
Boston Baked Beans 0 0 0 1 0.313 0.511
Chiclets 0 0 0 1 0.046 0.325
Super Bubble 0 0 0 0 0.162 0.116
Jawbusters 0 1 0 1 0.093 0.511
winpercent
Nik L Nip 22.44534
Boston Baked Beans 23.41782
Chiclets 24.52499
Super Bubble 27.30386
Jawbusters 28.12744
ord.ind <- order(candy$winpercent)
head(candy[ord.ind,], 5)
chocolate fruity caramel peanutyalmondy nougat
Nik L Nip 0 1 0 0 0
Boston Baked Beans 0 0 0 1 0
Chiclets 0 1 0 0 0
Super Bubble 0 1 0 0 0
Jawbusters 0 1 0 0 0
crispedricewafer hard bar pluribus sugarpercent pricepercent
Nik L Nip 0 0 0 1 0.197 0.976
Boston Baked Beans 0 0 0 1 0.313 0.511
Chiclets 0 0 0 1 0.046 0.325
Super Bubble 0 0 0 0 0.162 0.116
Jawbusters 0 1 0 1 0.093 0.511
winpercent
Nik L Nip 22.44534
Boston Baked Beans 23.41782
Chiclets 24.52499
Super Bubble 27.30386
Jawbusters 28.12744
Q14. What are the top 5 all time favorite candy types out of this set?
default = lowest to highest
candy |>
arrange(winpercent) |>
tail(5)
chocolate fruity caramel peanutyalmondy nougat
Snickers 1 0 1 1 1
Kit Kat 1 0 0 0 0
Twix 1 0 1 0 0
Reese's Miniatures 1 0 0 1 0
Reese's Peanut Butter cup 1 0 0 1 0
crispedricewafer hard bar pluribus sugarpercent
Snickers 0 0 1 0 0.546
Kit Kat 1 0 1 0 0.313
Twix 1 0 1 0 0.546
Reese's Miniatures 0 0 0 0 0.034
Reese's Peanut Butter cup 0 0 0 0 0.720
pricepercent winpercent
Snickers 0.651 76.67378
Kit Kat 0.511 76.76860
Twix 0.906 81.64291
Reese's Miniatures 0.279 81.86626
Reese's Peanut Butter cup 0.651 84.18029
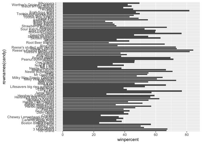
Q15. Make a first barplot of candy ranking based on winpercent values.
ggplot(candy) +
aes(winpercent, rownames(candy)) +
geom_col()

Q16. This is quite ugly, use the reorder() function to get the bars sorted by winpercent?
Add some color based on the “type of candy”
my_cols <- rep("black", nrow(candy)) #repeat number of candies I have
my_cols[as.logical(candy$chocolate)] <- "chocolate"
my_cols[as.logical(candy$fruity)] <- "red"
my_cols[as.logical(candy$bar)] <- "pink"
my_cols
[1] "pink" "pink" "black" "black" "red" "pink"
[7] "pink" "black" "black" "red" "pink" "red"
[13] "red" "red" "red" "red" "red" "red"
[19] "red" "black" "red" "red" "chocolate" "pink"
[25] "pink" "pink" "red" "chocolate" "pink" "red"
[31] "red" "red" "chocolate" "chocolate" "red" "chocolate"
[37] "pink" "pink" "pink" "pink" "pink" "red"
[43] "pink" "pink" "red" "red" "pink" "chocolate"
[49] "black" "red" "red" "chocolate" "chocolate" "chocolate"
[55] "chocolate" "red" "chocolate" "black" "red" "chocolate"
[61] "red" "red" "chocolate" "red" "pink" "pink"
[67] "red" "red" "red" "red" "black" "black"
[73] "red" "red" "red" "chocolate" "chocolate" "pink"
[79] "red" "pink" "red" "red" "red" "black"
[85] "chocolate"
ggplot(candy) +
aes(x = winpercent,
y = reorder(rownames(candy), winpercent)) +
geom_col(fill=my_cols)

Q17. What is the worst ranked chocolate candy?
Sixlets
Q18. What is the best ranked fruity candy?
Starburst
A plot with both variables/columns winpercent and pricepercent
library(ggrepel)
ggplot(candy) +
aes(x = winpercent,
y = pricepercent,
label = rownames(candy)) +
geom_point(col=my_cols) +
geom_text_repel(max.overlaps = 7)
Warning: ggrepel: 45 unlabeled data points (too many overlaps). Consider
increasing max.overlaps

Q19. Which candy type is the highest ranked in terms of winpercent for the least money - i.e. offers the most bang for your buck?
Chocolate candy type
Q20. What are the top 5 most expensive candy types in the dataset and of these which is the least popular?
ord <- order(candy$pricepercent, decreasing = TRUE)
head( candy[ord,c(11,12)], n=5 )
pricepercent winpercent
Nik L Nip 0.976 22.44534
Nestle Smarties 0.976 37.88719
Ring pop 0.965 35.29076
Hershey's Krackel 0.918 62.28448
Hershey's Milk Chocolate 0.918 56.49050
Now that we’ve explored the dataset a little, we’ll see how the variables interact with one another. We’ll use correlation and view the results with the corrplot package to plot a correlation matrix.
library(corrplot)
corrplot 0.95 loaded
cij <- cor(candy)
corrplot(cij)

Q22. Examining this plot what two variables are anti-correlated (i.e. have minus values)?
Chocolate and fruity
Q23. Similarly, what two variables are most positively correlated?
Chocolate and winpercent.
The function to use is called prcomp() with an optional scale=T/F
argument.
pca <- prcomp(candy, scale = TRUE)
summary(pca)
Importance of components:
PC1 PC2 PC3 PC4 PC5 PC6 PC7
Standard deviation 2.0788 1.1378 1.1092 1.07533 0.9518 0.81923 0.81530
Proportion of Variance 0.3601 0.1079 0.1025 0.09636 0.0755 0.05593 0.05539
Cumulative Proportion 0.3601 0.4680 0.5705 0.66688 0.7424 0.79830 0.85369
PC8 PC9 PC10 PC11 PC12
Standard deviation 0.74530 0.67824 0.62349 0.43974 0.39760
Proportion of Variance 0.04629 0.03833 0.03239 0.01611 0.01317
Cumulative Proportion 0.89998 0.93832 0.97071 0.98683 1.00000
Our main PCA result figure
ggplot(pca$x) +
aes(PC1, PC2, label = rownames(pca$x)) +
geom_point(col=my_cols) +
geom_text_repel(col = my_cols)
Warning: ggrepel: 21 unlabeled data points (too many overlaps). Consider
increasing max.overlaps

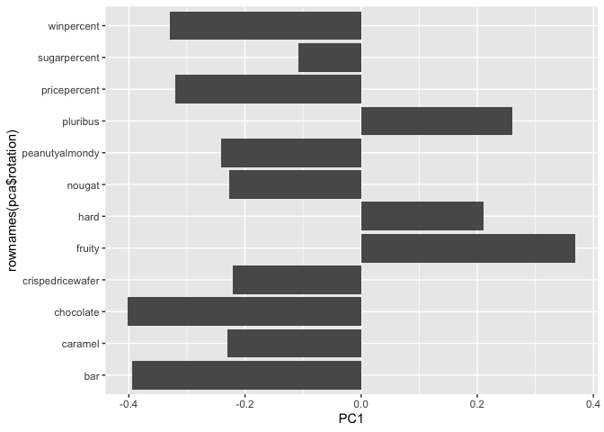
We should also examine the variable “loadings” or contributions of the origional variables to the new PCs
ggplot(pca$rotation) +
aes(PC1, rownames(pca$rotation)) +
geom_col()

p <- ggplot(pca$x) +
aes(PC1, PC2, label = rownames(pca$x)) +
geom_point(col=my_cols) +
geom_text_repel(col = my_cols)
Interactive plots that can be zoomed on and “brushed” over can be made with the plotly package. it’s output is inter5active and willl not render to PDF :-(
library(plotly)
Attaching package: 'plotly'
The following object is masked from 'package:ggplot2':
last_plot
The following object is masked from 'package:stats':
filter
The following object is masked from 'package:graphics':
layout
#plotly(p)
Q24. What original variables are picked up strongly by PC1 in the positive direction? Do these make sense to you?
Fruity, hard, pluribus. Yes, that makes sense: PC1 seems to capture a “non-chocolate, hard, multi-piece/fruit-flavor” axis, contrasting those candies with chocolate/bar/nutty/nougat types that load negatively.